我国传统数学14世纪以前在世界上一直处于领先的地位,此后渐渐落后于西方,到19世纪中叶,中算与西方合流,纯粹的中算宣告结束。正在这个时候,我国清代大数学家李善兰(1811-1882)出版了《垛积比类》四卷(1867),以“比类”、“形数结合”等传统方法,在书中提出了许多精彩绝伦、别具一格的求和公式,如李善兰恒等式等。他的主要研究成果为有限差分和组合数学开辟了一个新的领域,可以说在数学史上至今还堪称独步。本文拟讨论:由李善兰多项式为形式精美的“组合三角”提供了基础。
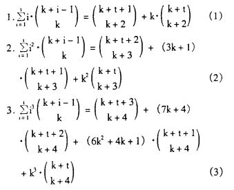
李善兰在《垛积比类》卷四的“三角变垛”中以演段、类比的方法归纳出三个公式:
分别称为三角一变垛,二变垛,三变垛。
我把以上公式,省略二项式系数,把相加各数去掉“+”号,按k0,k,k2…分层排列,有以下的三角阵:
表1
这种三角阵的特点是(以n=3为例):
1.斜边自上而下,是第二类Stirling数:S2(4,1)至S2(4,4),(1,7,6,1)。
2.左直角边自上而下,是Eulerian Numbers数,即李善兰“乘方垛各廉表”内的数:A3,1至A3,3 (1,4,1)
3.底边是x3的系数1,(x2,x,x0都是0)。
4.自上而下各列的和,是第一类Stirling数的绝对值:S1*(4,1)至S1*(4,4),(1,6,11,6)。
5.各横行自上而下的和,分别为1,11,11,1是Eulerian数A4,至A4。
6.从各横行第一,三,五…位各数之和减去第二,四,六…位各数之和的差,是二项式系数
7.斜边是x3=1+7·(x-1)+6·(x-1)(x-2)+(x-1)(x-2)(x-3)的系数。
8.底边是幂函数x3+0·x2+0·x+0的系数。
系数
根据上述性质,可以作出以下的示意图。这个图中内含的幂函数、两种Stirling数、两种Euierian数、二项式系数等,都是组合数学中的重要计数函数,故名为“组合三角”,它足以与我国最早在组合数学中做出重要贡献的“洛书”媲美。
组合三角:
洛书:
上述“组合三角”可推广应用到任意幂函数f(x)=anxn+ an-1xn-1 +…+a1x+ao(f(x)=xn是特例),任意幂函数大致可分三类:
横行左起各数依次乘以x10,x1,x12…,然后将乘得各数在右起1,3,5数的和中减去处2,4,6数之和,其差是二项式系数的x1倍(见组合三角示例的B)。
当x取值为I,2,3,…n时,用李氏差分d1求n次幂函数有统一的公式
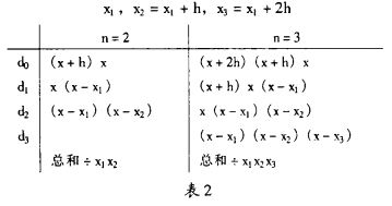
当x取值为x1,x2,x3,…,xn=x1+(n-1)h,及x1,x2,x3,…不是等距时,公式有规律,但非三言两语可表达,现介绍n=2,及n=3的公式:
(a)等间距
(b)不等距
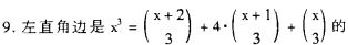
1,6,11,6是(x+1)(x+2)(x+3)=x3+6x2+11x+6的系数
验算:
差商式:
3.二项式系数的关系取法如上。
组合三角以少数数字组成,集各种函数的相互关系于一个数学“三角”之中。这好比在几何学里,三角形的三条中线,三条高,三条内角平分线交于一点,正三角形集各性于一体,纵横图内各数字纵、横、对角线之和均是n·(n2+1)/2,道理虽简单,但都是自然界的奥秘,组合三角应属其中之一。
中国的古算传统有许多是高度概括思维能力的杰作,有其独特的思想方法,深入地对其研究探讨,结合现代方法加以继承和发扬,应有很高的现实价值,有的还能古为今用,在未来数学发展中起推动与指导作用。
由李善兰多项式引出的组合三角
发布时间:99年10月29日
期刊目录 contents
物理百年研究启示录
物理学
数学
创新科学
科技论坛
生物工程
今日启明星
医学
生态学
科苑
科技史
探索与假说












