大多数有机固体是电绝缘体,但有机材料具有能与金属相比的导电性的可能至少在五十年以前就提出了。值得怀疑的是,是否当时的科学家相信有机导体将会成为一最重要的研究领域。然而,今天这些材料的研究给有机固态提供了有价值的知识,而且由于能提供硅和锗的替代物,它们的应用带来了电子工业的革命。
结晶固体
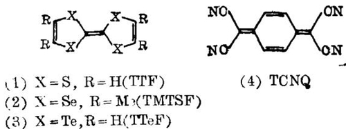
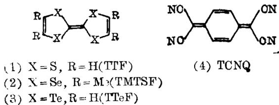
电荷转移复合物和离子基盐是构成双组分分子(二元体系)的典型的高结晶固体。电荷转移复合物是由电子供给体和电子接受体分子的相互作用形成的,它有中性的基态,而离子基盐是由具有离子性基态的组分分子形成的。有机金属真正地诞生于1973年,当时,以1:1的比例制出了供给体四硫瓦烯(TTF,1)和接受体7,7,8,8 - 四氰 - 对 - 奎诺二甲烷(TCNQ,4)的复合物,且发现它有金属性,其室温导电率σrt≈500 Scm-1,冷却时增加到σmax≈104Scm-1。TTF-TCNQ约在50 k发生派尔斯转变成为绝缘态(图1)。现在从TTF和TCNQ类似物中发现了一系列导电复合物。
按一般的原则,这类有机金属导电性的先决条件是其中的一个或两个组分是具有一个离域π电子体系的平面分子。在晶格中,组分分子分成两种堆叠——一种由供电子体分子组成,另一种由电子接受体分子组成。在这些排列中,紧密的面对面堆叠有利于广泛的π重叠和沿堆叠轴向的能带的形成。这种结构特征与一个不足半充满的能带结合,良导电性就能产生。显然这种导电性将是高度各向异性的。在这种分开的排列中的结晶堆叠模型与在大多数电荷转移复合物(它们必然是绝缘体)的堆叠中观察到的供给体 - 接受体交替排列形成了鲜明的对照。对于1:1的金属性供给体 - 接受体复合物,在堆叠之间必须有不完全的电荷转移。这就要求在供给体的电离势和接受体的电子亲合性之间有一微妙的平衡,这是不易达到的。对于TTF-TCNQ,每个堆叠的电荷是0.59,即平均从每个TTF到每个TCNQ分子转移0.59个电子。
对化学家和物理学家的一个连续性挑战就是通过阻止派尔斯畸变稳定金属态直到低温。各种方法都已试过了。硒和碲中心的较扩散的P和d轨道(相应于TTF)产生了较大的链内能带宽度(因而增大了金属导电性),而且也有利于增加链间相互作用,这能抑制派尔斯畸变,已发现许多含供电子体的硒(如2),但四碲富瓦烯较难合成,其母体系统(TTeF,3)只是在最近才得到的。杂环之间有扩大的π电子骨架的含硫供电子体(相当于TTF2+)也是有趣的,它引起了双阳离子态的库仑斥力的减小。例如,与TTF对比,供电子体(5)在中性和双阳离子型式中都是稳定的,(5)与TCNQ的导电性电荷转移复合物目前正在研究之中。
大多数导电复合物具有单晶或微晶粉末的特征。然而,一个研究电荷转移复合物的有希望的新方向正随着电活性Langmuir Blodgett(LB)薄膜的报道而出现,这种薄膜是由长烷烃链(C18-C22)取代的吡啶阳离子的TCNQ复合物形成的。法国贝尔德研究组和我们实验室的工作表明,1-20层非常整齐的薄膜能沉积到玻璃质底上。对于LB膜(在膜的平面中),已获得了约10-2 Scm-1的室温导电率值,尽管这些复合物在晶态是很不良的导体。将来或许能得到较高的LB膜导电率。
不容置疑,一个最引人注目的进展就是有机物超导性的发现。1989年哥本哈根大学的比科哥德和巴黎大学的杰罗姆合作,在Tc=1 k和1.2千巴(1200大气压)的压力下观察到了离子基盐(TMTSF)2+PF6-的超导性。此后在许多TMTSF盐中发现了超导性,其中的(TMTSF)2+CIO6-在环境压力下是一个超导体(Tc=1.2 k)。这些材料中的派尔斯畸变受到了强烈的分子间互相作用的二维性质的抑制。阴离子在导电过程中不起直接作用,导电过程通过堆叠间和堆叠内硒 - 硒相互作用网络发生(图2)。这族盐的性质已被作了全面的综述。在硫异构体系列(TMTTF)2X中,即使在高压下也未发现超导性。
以硫为基础的超导性是1983年IBM的工作者圣 · 约斯首次报道的,其材料是盐(BEDT-TTF)2+ReO4-(Tc=1.5 k,7千巴)。已发现了几种BEDT-TTF(6)的超导盐,它们的结构都具有短的硫 - 硫相互作用(由此形成了二维格子而不是一维的堆叠)的特征。目前在硫氰铜盐(BEDT-TTF)2-Cu(SCN)2中发现有机材料开始产生超导性的最高温度是10.4 k。这样以来,含硫供电子体就比它们的硒类似物更受重视了。 TMTSF(2)和BEDT-TTF(6)超导性的结晶通常是用电化学方法培养的,另外两族盐是有机超导体。法国工作者报导了含多硫盐TTF+[Ni(dmit)2] 2-(1)-(7)在Tc=1.6 k和7千巴压力下的超导性,其晶格中具有强的三维相互作用,日本工作者在混合硫 - 硒供电子体分子的盐中观察了超导性,该分子是由一半TMTSF分子(2)和一半BEDF-TTF分子(6)结合而成的。
两个重要的问题现在尤为突出——有机超导体的Tc能有多高?有机物和新的陶瓷超导体的超导性机制有何相互关系?这必将仍然是实验工作者和理论家们的一个多产地带。
金属一 - 二硫烯络合物是重要的一族有机金属导体。最近班克的化学家和剑桥的物理学家合作研究了该族中特别有趣的一个。络合物(9)的室温导电率σrt=5 Scm-1,在较低温度下也是半导电的,这是许多有机导体的特征。(9)的有趣性质是当给其结晶加压时变轻——此时,派尔斯畸变被抑制,而且直到1.4 K和12千巴压力下导电率仍是金属性的(σ=10 Scm-1)。该材料没有超导性,但在其π体系中发现了二维相互作用,这给这些有机金属化合物的未来设置了陷阱。
金属大环(如酞菁10)已被做了广泛的研究:它们能与电子接受体共结晶产生混合价的低维导体。由于多碘化合物链(处于晶格内的离子的夹槽中)的稳定性,碘分子是好氧化剂。例如,酞菁镍的碘化物Ni(Pc)I(10)呈金属性,25 k下的最大导电率为5000 Scm-1(图1);不像大多数有机金属,(10)在1 k时不用加高压仍保持导电。Ni(Pc)I中的电荷载体与沿着大环堆叠的离域π轨道(其一小部分贡献来自碘链)有关。用两个氢原子取代镍原子的相关物H2(Pc)I(11)结论性地说明螯合金属原子不是导电性所必需的,因为(11)在室温下的导电率值仍然是很高的。
共轭聚合物
没有以碳原子骨架为基础的聚合物天生就是导电的,在原始态它们是绝缘体。需要微妙的化学操作处理这些聚合物成为导电态。聚乙炔(12)是典型的导电有机聚合物。顺式聚乙炔能在低温下制出,但在室温或室温以上,顺式能异构化成熟力学稳定的反式。在纯净态,σrt=10-7-10-9 SCm-1但当加入氧化剂(如卤素或路易斯酸)或还原剂(如碱金属),导电率惊人地增加到约1000 SCm-1。这种效应是1977年首次发现的。
氧化和还原过程分别叫作P和n型掺杂。起初,良导电性增加是用能带图来解释的:假设,掺杂时氧化剂从满的价带中移走电子,还原剂则把电子加进空的导带中,这与无机半导体的掺杂相似。然而人们很快就明白这是一个过于简单的图,因为实验表明,聚乙炔和其他导电聚合物的导电性与未成对电子无关,而与没有自旋的电荷载体有关。
聚乙炔是有一个简并基态的导电聚合物中唯一的一个。两个基态与双键和单键的互换有关(机理1)。然而,由于派尔斯不稳定性,具有可转换单双键的基态比完全离域的基态有利:这具有打开半导体能量间隔的作用,导电性的一个重要因素是在键的转换序列中,链能提供稳定的缺陷。这些缺陷作为电荷载体(称为孤单子)在电场影响下沿链移动。掺杂产生了更多的孤单子,对于氧化掺杂的聚乙炔,孤单子实质上是一个离域的碳阳离子。
由于种种原因,聚乙炔是一种不便加工的材料:它不溶解在低于降解温度加工时它不熔化,而且与空气接触就氧化。此外,通常用含杂形式(被聚合催化剂的残留污染)研究聚合物。然而使用可溶性前体聚合物能解决这个问题,该聚合物是由德哈木的费斯特及其合作者研究的,它能产生高纯度的反式聚乙烯。
掺杂聚乙炔(实际上与铜的导电性一样,见图1)现被制成定向伸长的薄膜,这在最初是由德国BASF的拉曼研制的。这些薄膜具有任何一种有机物质的最高室温导电率,在薄膜的线性方向上重复性地获得了80000 Scm-1的σrt值。
其他聚合物
许多其他共轭聚合物也是导电的,如聚对苯烯(13)、聚苯胺(14)、聚吡咯(15)和聚噻吩(16)。提高机械和加工性能而不丧失良导电性的研究已向聚杂环体系(15)和(16)的方向发展。对于这些材料,通常给电化学电池中的单体加一适当电压,用电化学方法进行聚合。该方法产生掺杂态的聚合物;聚合物上的电荷被电解质溶液中的相反离子中和。这些聚合薄膜的颜色相当黑,而且它们能被小心地从电极上剥落下来,而具有自由固定膜的特征。
在这些环状体系(13-16)中,Soliton缺陷是不稳定的(见聚乙炔),因为由键转变形成的不同相是不简并的:A相的噻吩单元是芳香型,所以其能量低于B相的非芳香型(醌型)单元(机理2)。结果这些体系对于半导体间隔有附加的贡献,相对聚乙炔而言,该间隔增大了(聚对苯烯为3.5 eV,聚吡咯为3.0 eV,聚噻吩为2.2 eV,聚乙烯为1.5 eV)。对于有非简并基态的聚合物(13-16),由掺杂产生的电荷载体称为极化子和双极化子。一个极化子是一个独立的附加电荷载体,而一个双极化子则是一对这样的电荷,双极化子常常(但不总是)比独立的极化子状态有利得多。按化学术语说,游离基、离子基和双离子分别类似于Soliton、极化子和双极化子。这些与高共轭聚合物电子结构有关的概念已被做了广泛的讨论。
预期有较小能带间隔的聚合物是固有的良导体 · 武德及其合作者制备了聚异硫萘(20):(20)中苯环稳定了醌型对基态的贡献(B相,机制2),且能带间隔因此降低到1.0 eV,即聚噻吩(16)的一半。掺杂聚异硫萘表现出奇特的性质——其薄膜不仅有良导电性(σ=50 Sem-1)而且对可见光是透明的,没有别的材料的这两种性质同时出现。
过去两年中,可溶化加工的导电聚合物(即聚合物薄膜能被溶解,然后再铸造成保持导电性的薄膜)的研究已有了令人兴奋的发展。通过给噻吩环上接一柔曲的长链取代基,可得到在有机溶剂中的溶解性。日本和美国的研究组报导,聚(3 - 烷基)噻吩(17)是可导电和可溶性的;我们的工作也表明,用醚取代聚噻吩(例可加工的18)获得了很高的导电率(σrt=1000 Scm-1)。最近在武德的实验室里制备出了第一个水溶性衍生物:用一极性烷基磺酸酯基取代噻吩环,该基能给聚合物提供理想的性质。
分子导体的应用
不容置疑,进行这方面工作的主要动力是分子导体的潜在的商品化使用。用有机材料代替电子工业上使用的无机半导体和金属被称为“分子电子学”。该学科的应用已引起了公众报刊的注意:“The Wall Street”杂志认为,“如果有稳定的导电塑料,可找到的使用数目将是惊人的”。许多用途已过早地作了申明,但工业专利的过剩证明了在此领域的激烈的国际竞争。应用的前景是广泛的。这种有机物主要优点是它们体积非常小,结构多样性,制做容易和可能的低成本。设计有机化合物时,电学和光学性质能被建立到分子结构中去,而不通过加工技术引入——这极大地简化了生产工艺过程。
电荷转移复合物或有机超导体的一个主要问题是这些材料的结晶非常脆。半导电TCNQ盐(如Cu-TCNQ)的粉末样品在光学记录装置中已初见成效:此盐经激光照射,能在导电和绝缘形式之间可逆地转变。最近,良导电性电荷转移复合物的LB薄膜的出现,给仪表技术提供了新的可能(如热电传感器),在此,LB薄膜电极的应用将是一大进展。
最近,导电聚合物加工性能的提高增加了它们的预期的用途。宣传最多的导电聚合物的用途是在电池中:以聚乙炔电极为基础的、轻的可充电电池的可行性已被做了明确说明,当用一个经电解质(如高氯酸锂)饱和过的聚碳酸酯绝缘薄膜把两片掺杂聚乙炔隔开时,一个具有阴极和阳极聚乙炔片的塑料电池就做成了。聚合物电极应比金属电极有较长的寿命,因为对于聚合物,在电荷输出和储存中的离子是电极自身的一个组成部分,这就减少了与传统电池中电极材料的溶解和再沉积有关的机械磨损。带有一个聚苯胺电极和一个锂电极的可充电电池现正在日本销售,据报导其产量增加,且货架寿命胜过非聚合物对手。
人们对于研究一种能用作电缆保护外壳的导电聚合物有相当大的兴趣;目前含分散碳黑的聚乙烯混合物已被使用。碳分散均匀性的中断引起电力损失且最终导致电缆破裂。有机聚合物的均匀导电性使得它们成为有希望的替代物。
聚合物的光学和电学性质吸引了工业。许多实验室的研究涉及到了电铬排印中聚噻吩和聚苯胺的使用。这些排印技术使用了显著的颜色变换,此变换是通过给聚合物加电压而可逆地产生的。例如,聚噻吩薄膜在掺杂态是红色的,而在非掺杂态是深蓝色的,它们能给液晶排印提供可行的替代物。这些新的光学性质也可以用于纤维光学技术中,例如即将出现的光学计算机,许多聚合的和结晶的有机导体呈现非线性光学性质。这些性质是由离域π电子体系中的电磁场相互作用引起的。预期有许多工业用途,如光学通讯、激光扫描和新一代计算机的数据传送。
导电聚合物的更冒险的应用包括了像太阳能电池和人体药物输送系统这样各种领域。虽然导电聚合物能吸收阳光,但其转换效率远远低于太阳能电池所要求的。它们在药物输送方面的潜力依赖于插入人体中的聚合物的氧化还原性质。如果药物分子能作为掺杂离子起作用的话,原则上说,药物将在用一小电压脱杂聚合物时被释放出来。实际上在体内实验开始之前有许多问题——化学上的和医学上的——必须受到重视。其他可能的用途包括导电涂料、复印和印刷调色剂、抗静电剂,以及作为轻重量、机械强度和适度的良导电性同时要求的航空器的元件。
在这篇短文中,我着重谈了有机导体的一些进展。有趣的科学和技术资源仍须探索,而且无疑将会发现意想不到的新现象。预期在整个九十年代中,大学和工业界的科学家之间不断的、紧密的合作能够带来重大的进展。
[Chemistry in Britan,1988年8月]




